| Дата подписания | 16.11.2016 |

УКАЗ
ГЛАВЫ ДОНЕЦКОЙ НАРОДНОЙ РЕСПУБЛИКИ
(в редакции Указа Главы ДНР от 09.02.2017 № 31)
С целью учёта перемещенных лиц на территории Донецкой Народной Республики
ПОСТАНОВЛЯЮ:
1. Утвердить Порядок учёта перемещенных лиц на территории Донецкой Народной Республики (Приложение).
2. Настоящий Указ вступает в силу с момента его подписания.
Глава
Донецкой Народной Республики А. В. Захарченко
г. Донецк
№ 393
«16» ноября 2017 г.
Приложение
УТВЕРЖДЕНО
Указом Главы
Донецкой Народной Республики
от 16 ноября 2016 г. № 393
Порядок учёта перемещенных лиц на территории Донецкой Народной Республики
1. Порядок учета перемещенных лиц на территории Донецкой Народной Республики (далее — Порядок) разработан в соответствии со статьями 4, 20, 32 Конституции Донецкой Народной Республики и действующим законодательством.
Порядок регулирует механизм выдачи справки о постановке на учет перемещенного лица (далее — Справка).
Справка является документом, подтверждающим факт постановки на учет перемещенного лица, и основанием назначения социальной поддержки и социальных выплат в соответствии с действующим законодательством Донецкой Народной Республики.
2. Перемещенными лицами являются:
1) лица, жилье которых находится на территории Донецкой Народной Республики или на территории, временно подконтрольной государству Украина, полностью или частично разрушено вследствие чрезвычайных ситуаций либо ведения боевых действий, а также временно непригодно для проживания;
2) лица, проживающие непосредственно в зоне ведения боевых действий, на линии соприкосновения сторон конфликта, в буферной зоне или на территориях, находящихся под обстрелом;
3) лица, проживающие на территории Донецкой Народной Республики, временно подконтрольной государству Украина, преследуемые то политическим мотивам, подвергающиеся гонениям по причине поддержки Донецкой Народной Республики;
4) граждане Украины, иностранные граждане и лица без гражданства, преследуемые государством Украина или другими государствами за поддержку Донецкой Народной Республики;
5) военнослужащие из числа лиц, проходящих (проходивших) военную службу в Министерстве обороны Донецкой Народной Республики (далее — МО ДНР), Министерстве внутренних дел Донецкой Народной Республики (далее — МВД ДНР), Министерстве государственной безопасности Донецкой Народной Республики (далее — МГБ ДНР), Министерстве по делам гражданской обороны, чрезвычайным ситуациям и ликвидации последствии стихийных бедствий Донецкой Народной Республики (далее — МЧС ДНР), которые прибыли с территории Донецкой Народной Республики временно подконтрольной государству Украина, с территории государства Украина, а также других государств;
6) члены семей военнослужащих из числа лиц, проходящих (проходивших) военную службу в МО ДНР, МВД ДНР, МГБ ДНР, МЧС ДНР, которые прибыли с территории Донецкой Народной Республики временно подконтрольной государству Украина, с территории государства Украина, а также других государств;
7) лица, пребывавшие до 7 апреля 2014 года на территории, подконтрольной Донецкой Народной Республике, и получавшие социальные и пенсионные выплаты;
8) лица, которые отбывали наказание в местах лишения свободы и имели (имеют) регистрацию места проживания на территории Украины и не желающие возвращаться к предыдущему месту жительства.
3. Регистрация перемещенных лиц, согласно настоящего Порядка, осуществляется в общежитиях и объектах жилого фонда (Приложение 1).
4. Форма договора для перемещенных лиц утверждается Министерством юстиции Донецкой Народной Республики.
5. Регистрация перемещенных лиц по месту жительства осуществляется территориальным подразделением Миграционной службы МВД Донецкой Народной Республики (далее — МС МВД ДНР) при предоставлении в их адрес Справки и договора, указанного в пункте 4 настоящего Порядка. Заявителю выдается адресная справка.
6. Для получения Справки совершеннолетнее лицо обращается лично или через представителя, в установленном законом порядке, с заявлением в Управление труда и социальной защиты населения администраций в городах, районах, районах в городе (далее — Управление) по месту фактического проживания.
Принятие решения (не позднее 3-х дней с момента поступления документов) о выдаче Справки принимает Комиссия по перемещённым лицам (далее — Комиссия), созданная при администрациях в городах, районах, районах в городе, в состав которой в обязательном порядке включаются представители Управления, территориальных органов МВД ДНР.
7. Для получения Справки на несовершеннолетнего ребенка возрастом до 16 лет, заявление подается законным представителем ребёнка (одним из родителей, опекунов, попечителей, приемных родителей), или уполномоченным представителем администрации учреждения здравоохранения, учебного или другого детского учреждения, в котором постоянно проживает ребенок.
Если несовершеннолетний ребенок возрастом до 16 лет прибыл без сопровождения соответствующего представителя, заявление подает от его имени представитель органа опеки и попечительства по месту фактического проживания такого ребенка.
Несовершеннолетний ребенок с 16-ти летнего возраста самостоятельно при обязательном согласии одного из законных представителей или уполномоченного представителя администрации учреждения здравоохранения, учебного или другого детского учреждения, в котором постоянно проживает ребенок, подает заявление на получение Справки. Согласие представителя не требуется для лиц, не достигших 18-летнего возраста, но имеющих полную дееспособность, согласно гражданского законодательства.
Подача заявлений на получение Справки недееспособными или ограниченно дееспособными совершеннолетними лицами осуществляется при участии опекуна, попечителя или уполномоченного представителя администрации учреждения здравоохранения, учебного или другого учреждения, в котором указанные лица проживают.
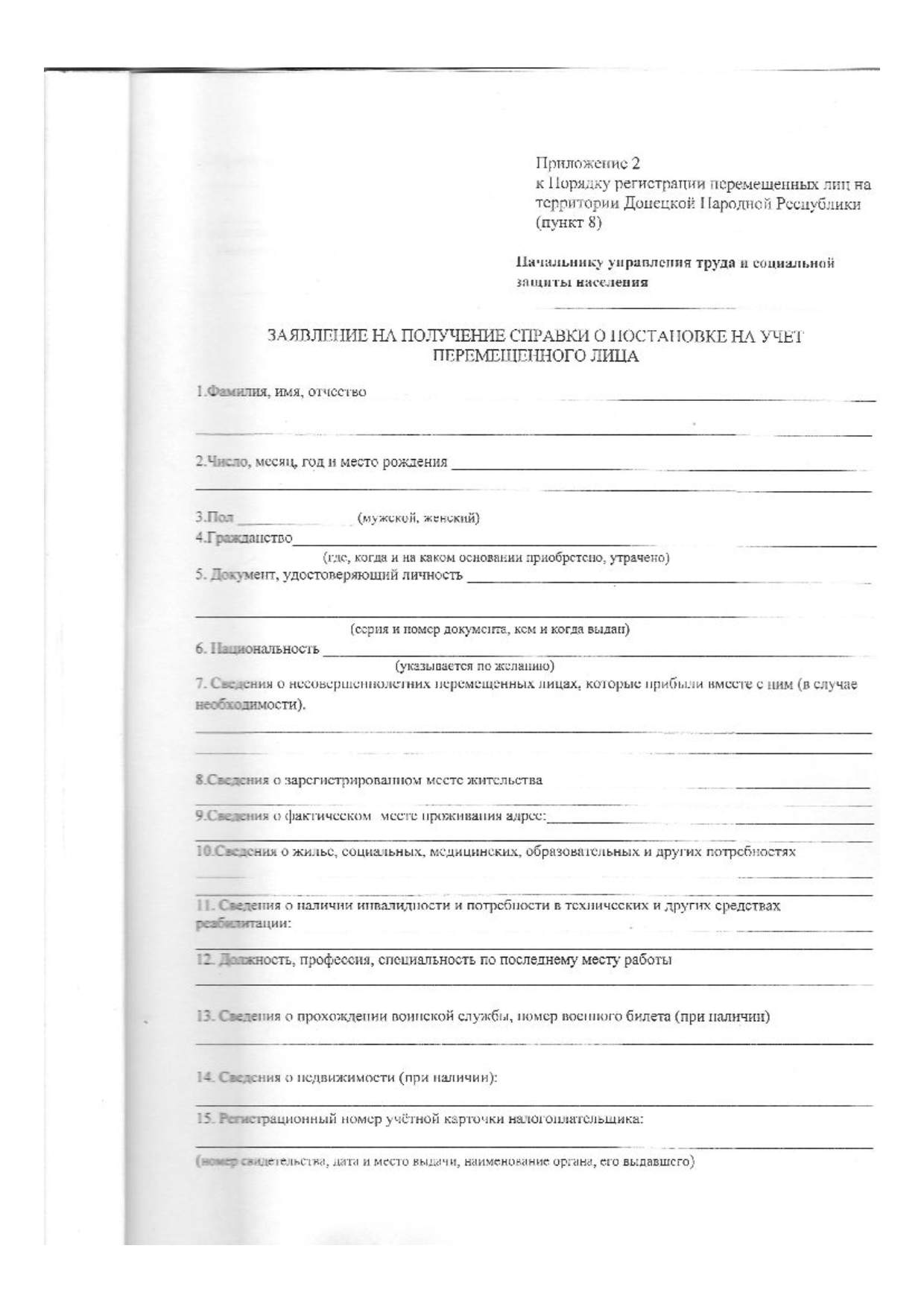
8. Заявление о получении Справки (Приложение 2) должно содержать следующую информацию о заявителе:
1) фамилия, имя, отчество;
2) число, месяц, год и место рождения;
3) пол;
4) гражданство;
5) номер и серия документа, удостоверяющего личность, кем и когда выдан;
6) национальность (указывается по желанию);
7) сведения о несовершеннолетних перемещенных лицах, которые прибыли вместе с ним (указывать в случае необходимости);
8) сведения о регистрации по месту жительства;
9) адрес фактического места проживания, по которому с лицом может осуществляться официальная переписка или вручение официальной корреспонденции, и контактный номер телефона;
10) сведения о жилье, социальных, медицинских, образовательных и других потребностях;
11) сведения о наличии инвалидности и потребности в технических и других средствах реабилитации (при наличии);
12) должность, профессия, специальность по последнему месту работы;
13) сведения о прохождении воинской службы, номер военного билета (при наличии);
14) сведения о недвижимости (при наличии);
15) регистрационный номер учётной карточки налогоплательщика;
для физических лиц, которые из-за своих религиозных убеждений отказываются от принятия регистрационного номера учетной карточки налогоплательщика — справка о наличии права осуществлять платежи по серии и номеру паспорта или наличие соответствующей отметки в паспорте;
16) причины, повлекшие перемещение.
Заявитель дает согласие па обработку, использование, хранение его персональных данных и персональных данных несовершеннолетних лиц в соответствии с Законом Донецкой Народной Республики «О персональных данных».
9. Вместе с заявлением о получении справки лицо предоставляет копии документов:
1) паспорта или документа, его заменяющего;
2) свидетельства о рождении (для несовершеннолетних лиц);
3) документа, подтверждающего инвалидность (справка МСЭК, заключение ВКК при наличии);
4) документа, подтверждающего прохождение воинской службы;
5) регистрационного номера учётной карточки налогоплательщика;
6) трудовой книжки.
В случае подачи заявления о взятии на учёт законным представителем перемещенного лица, от имени которого подается заявление, дополнительно предоставляются:
1) документ, удостоверяющий личность законного представителя (паспорт);
2) документ, подтверждающий полномочия лица в качестве законного представителя, кроме случаев, когда законными представителями являются родители (усыновители) несовершеннолетних лиц.
10. С целью учета перемещенных лиц Управления ведут Базу данных о перемещенных лицах, в которую вносится информация в соответствии с пунктами 8, 9 настоящего Порядка.
Управления ежемесячно предоставляют в Министерство труда и социальной политики Донецкой Народной Республики (далее — МТСП ДНР) данные о перемещенных лицах на территории Донецкой Народной Республики. На основании предоставленных данных МТСП ДНР формирует Единую базу данных о перемещенных лицах, проживающих на территории Донецкой Народной Республики.
11. Управления еженедельно формируют в соответствии с пунктами 8, 9 настоящего Порядка и направляют в электронной форме территориальным органам внутренних дел Донецкой Народной Республики (далее — ОВД МВД ДНР) данные о лицах, которые поставлены на учёт (предварительный учёт) перемещенных лиц для осуществления проверок по данным МВД ДНР.
12. После сбора сведений и предоставления лицом всех необходимых копий документов, Управления еженедельно формируют и направляют в электронной форме МГБ ДНР информацию о лицах, которые поставлены на учет (предварительный учёт) перемещённых лиц и претендующих па получение социальных выплат или социальной поддержки.
13. МГБ ДНР после получения данных, переданных Управлением в электронной форме, проводит проверку на соответствие причин перемещения (в том числе, через линию разграничения), указанных в заявлении лицом.
МГБ ДНР информирует Управление в срок до 30 (тридцати) календарных дней исключительно о тех лицах, подавших заявление, постановка которых на учет нежелательна, либо может представлять угрозу безопасности Донецкой Народной Республики.
14. Территориальные органы МВД ДНР, после получения данных, переданных Управлением в электронной форме, проводит проверку на соответствие данных, указанных в заявлении, по имеющимся банкам данных.
Проведение действий, указанных в настоящем пункте, не должно превышать 30 (тридцать) календарных дней со дня получения данных.
15. По истечению срока, установленного пунктами 13, 14 настоящего Порядка, Управления в течение трех рабочих дней направляют документы в Комиссию для принятия решения о выдаче Справки. На основании принятого решения Управления выдают Справку по форме (Приложение 3).
16. Срок действия Справки составляет двенадцать месяцев со дня ее выдачи с правом продления, в связи с чем, лицо обращается в Управление по месту жительства с заявлением о продлении срока действия Справки.
17. Управления ведут журнал учета выданных справок (Приложение 4).
18. С целью осуществления контроля проживания перемещенного лица на территории Донецкой Народной Республики Управления:
1) не реже одного раза в три месяца проводят проверку фактического проживания перемещенного лица по указанному им адресу, о чем составляется акт (Приложение 5);
2) закрепляют осуществление социальных выплат перемещенным лицам за отделениями Центрального Республиканского Банка или отделениями Государственного предприятия «Почта Донбасса» по месту фактического проживания заявителя.
19. С целью осуществления контроля проживания перемешенного лица на территории Донецкой Народной Республики, а также получения информации о факте пересечения им границы с Российской Федерацией, далее — РФ) и Луганской Народной Республикой (далее — ЛHP) или линии разграничения с Украиной, МТСП ДНР ежемесячно (до 25 числа каждого месяца) подают письменный запрос в адрес МГБ ДНР в отношении перемещенного лица. Служба пограничной охраны МГБ ДНР, согласно запроса, осуществляет постановку на контроль перемещенного лица. В запросе в обязательном порядке отображаются:
1) установочные данные о лице, в отношении которого оно предоставляется (фамилия, имя, отчество, число, месяц, год рождения, гражданство);
2) основания для предоставления запроса;
3) серия, номер паспортного документа, кем и когда выдан;
4) кого информировать о выполнении поручения (фамилия, имя, отчество должностного лица, номера телефонов).
Информирование о факте пересечения границы с РФ и ЛНР или линии разграничения с Украиной перемещенного лица осуществляется Службой пограничной охраны МГБ ДНР после каждого пересечения границы этим лицом. Информация по запросам (ответ) направляется до момента снятия с учёта перемещенного лица и аннулировании справки, о чем Управления в течение 3 (трех) рабочих дней письменно информируют МГБ ДНР.
В случае отсутствия сведений о возвращении перемещенного лица на территорию, подконтрольную Донецкой Народной Республике, более 2-х месяцев подряд Комиссия принимает решение, а Управление аннулирует Справку и прекращает выплаты.
Если при проверке установлены факты несоответствия указанных перемещенным лицом сведений о месте проживания, получения сведений отрицательного характера от МГБ ДНР, МВД ДНР или их территориальных органов, Управления принимают решения о снятии с учета таких лиц, аннулировании Справок и прекращает выплаты.
Информация о снятии с учета перемещенного лица и аннулировании справки вносится в Базу о перемещенных лицах.
20. Заявителю может быть отказано в выдаче справки или продлении, если:
1) предоставлены ложные сведения;
2) отсутствуют основания для признания лица перемещенным;
3) отсутствуют обстоятельства, повлекшие перемещение, или обстоятельства, которые ранее существовали, но существенно изменились;
4) отсутствуют документы, удостоверяющие личность;
5) Управления получили информацию отрицательного характера по результатам проведенных проверок МГБ ДНР и МВД ДНР в соответствии с пунктами 13, 14 настоящего Порядка.
21. Основанием для принятия Управлением решений о снятии с учета перемещенных лиц, аннулирования Справки и прекращения социальных выплат является:
1) получение от пограничной охраны МГБ ДНР, в отношении категорий перемещенных лиц, предусмотренных подпунктами 3, 4, 8 пункта 2 настоящего Порядка, информации о возвращении на территорию государства Украина или территорию подконтрольной государству Украина;
2) в течение 2 (двух) календарных месяцев, пребывание перемещенных лиц на территории Донецкой Народной Республики составляет менее 35 (тридцать пять) дней (за исключением нахождения на территории другого государства на лечении, продолжительность которого составляет более 30 (тридцати) дней).
22. В случае аннулирования Справки на основании пункта 21 настоящего Порядка возобновление социальных выплат осуществляется по истечению 2 (двух) месяцев после повторной постановки на учет в соответствии с настоящим Порядком.
Если лицо, Справка которого была аннулирована на основании подпункта 2 пункта 21 настоящего Порядка, представит документы, подтверждающие нахождение ею на лечении (продолжительность которого составляет более 30 (тридцати) дней), возобновление социальных выплат по решению Комиссии может быть осуществлено с месяца прекращения таких социальных выплат.
В случае повторного аннулирования Справки на основании пункта 1 пункта 21 настоящего Порядка, Управление имеет право обратиться в суд, с ходатайством о запрете въезда такого лица на территорию Донецкой Народной Республики на срок до 6 (шести) месяцев.
23. В случае изменения места жительства или других обстоятельств, перемещенное лицо обращается за получением справки в Управление по месту peгистрации нового места жительства, а ранее выданная ему справка изымается Управлением, о чем вносятся соответствующие изменения в Базу данных о перемещенных лицах.
24. В Базу данных о перемешенных лицах также вносятся сведения о смерти этих лиц на основании данных органов государственной регистрации актов гражданского состояния.
25. В случае утраты Справки перемещенное лицо обращается в Управление с заявлением о выдаче дубликата Справки.
26. Информация о перемещенных лицах всем заинтересованным органам предоставляется с соблюдением требований Закона Донецкой Народной Республики «О персональных данных» на бесплатной основе.

